Ответы
Ответ дал:
0
Ответ:
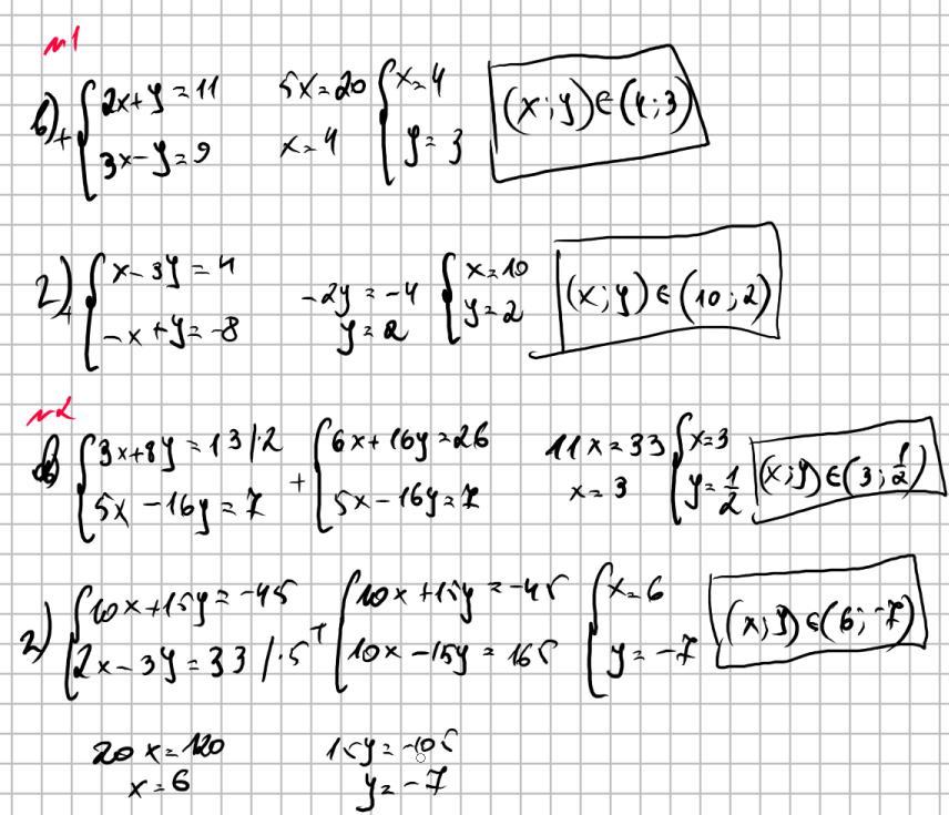
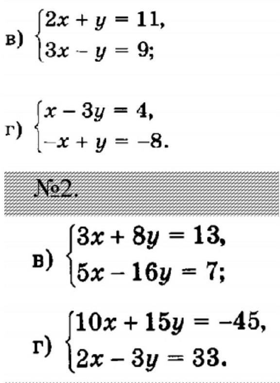
№1
в)(4;3)
г)(10;2)
№2
в)(3;0,5)
г)(6;-7)
Объяснение:
Приложения:

Вас заинтересует
2 года назад
3 года назад
3 года назад
8 лет назад