• Предмет: Алгебра
  • Автор: leskokata09
  • Вопрос задан 8 лет назад

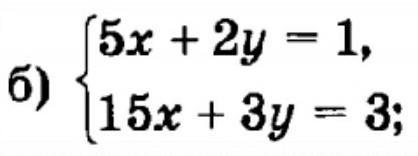
решите системы уравнений методом сложения 7 класс ​

Приложения:

Ответа на этот вопрос пока нет. Попробуйте найти его через форму поиска.

Вас заинтересует