• Предмет: Математика
  • Автор: polinamalina090703
  • Вопрос задан 8 лет назад

Решить уравнение:
1) √2 sin⁡(2x+π/(4 )+1=0
2) sin2x-5sinx-2=0
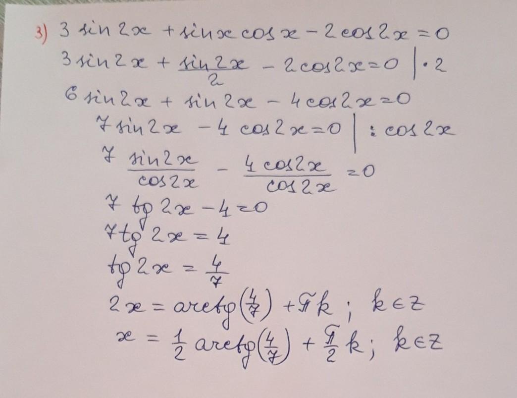
3) 3 sin2x+sinx•cosx-2cos2x=0

Ответы

Ответ дал: sharofat0
0

Ответ:

Решить триг. уравнение.

Приложения:
Вас заинтересует