• Предмет: Физика
  • Автор: annatifu1
  • Вопрос задан 8 лет назад

50 БАЛЛОВ!!!!!!!!
Решите задачу УМОЛЯЮ
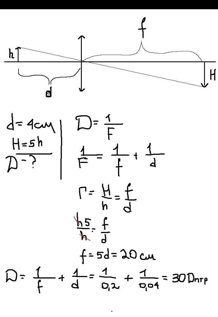
Предмет находится на расстоянии от линзы в 4 раза больше фокусного. Во сколько раз его изображение на экране меньше самого предмета?
Не копируйте решения пожалуйста!

Ответы

Ответ дал: 00976743559wile
0

Ответ:

у меня была похожая задача

это что то похожее на твою

Приложения:
Вас заинтересует