Ответы
Ответ дал:
0
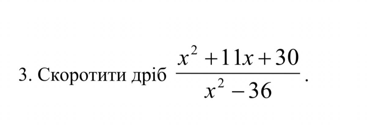
Ответ во вложении....
Приложения:

Вас заинтересует
2 года назад
2 года назад
3 года назад
8 лет назад
8 лет назад
9 лет назад