• Предмет: Математика
  • Автор: vengerovdaniil
  • Вопрос задан 8 лет назад

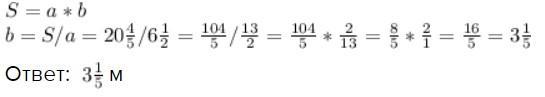
площадь прямоугольника равна 20 целых 4/5 метров в квадрате . Найдите высоту этого прямоугольника , если его основание равно 6 целых 1/2 метров

Ответы

Ответ дал: MrOtvet55555
0

Ответ на картинке.

Пошаговое объяснение:

Пусть a - основание, b - высота, S - площадь.

Приложения:
Ответ дал: MrOtvet55555
0
Пожалуйста
Ответ дал: lmamatkulova
0

20÷4=5

6÷2=3

5+3÷2=4 наверное

Приложения:
Вас заинтересует