• Предмет: Алгебра
  • Автор: kokolofolka37
  • Вопрос задан 8 лет назад

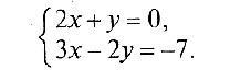
Решите систему уравнений

Приложения:

Ответы

Ответ дал: WSVR
0

Решение на фотографии!!!!

Приложения:
Вас заинтересует