• Предмет: Алгебра
  • Автор: alinka5malinka5
  • Вопрос задан 8 лет назад

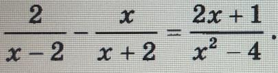
40 баллов!!!!!! СРОЧНО помогите с уравнением!!!!!

Приложения:

Ответа на этот вопрос пока нет. Попробуйте найти его через форму поиска.

Вас заинтересует