• Предмет: Математика
  • Автор: Makao3162
  • Вопрос задан 8 лет назад

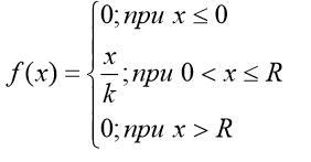
Случайная величина Х задана функцией плотности вероятности
Вычислить для Х ее среднее значение МХ, дисперсию DХ, моду Мо и медиану Ме. Построить график функции f(х) и отметить на нем числовые характеристики случайной величины X.
Значения параметров K и R вычислять по следующим формулам:
K = V+1 =............................, где V номер варианта.( V = 1)
R = √2K =...............................................

Приложения:

Ответа на этот вопрос пока нет. Попробуйте найти его через форму поиска.

Вас заинтересует