• Предмет: Алгебра
  • Автор: zhanbotadosbergenova
  • Вопрос задан 8 лет назад

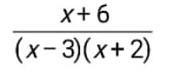
Какие значения х не имеют смысла?
помогите пожалуйста))))​

Приложения:

Ответа на этот вопрос пока нет. Попробуйте найти его через форму поиска.

Вас заинтересует