Ответы
Ответ дал:
0
Ответ:
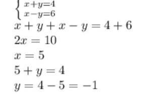
ответ (5;-1) отвееееет отвееееет тут просто 20 символов не хватает
Приложения:

Вас заинтересует
2 года назад
2 года назад
3 года назад
3 года назад
8 лет назад
8 лет назад
9 лет назад
9 лет назад