• Предмет: Математика
  • Автор: 09102013s
  • Вопрос задан 8 лет назад

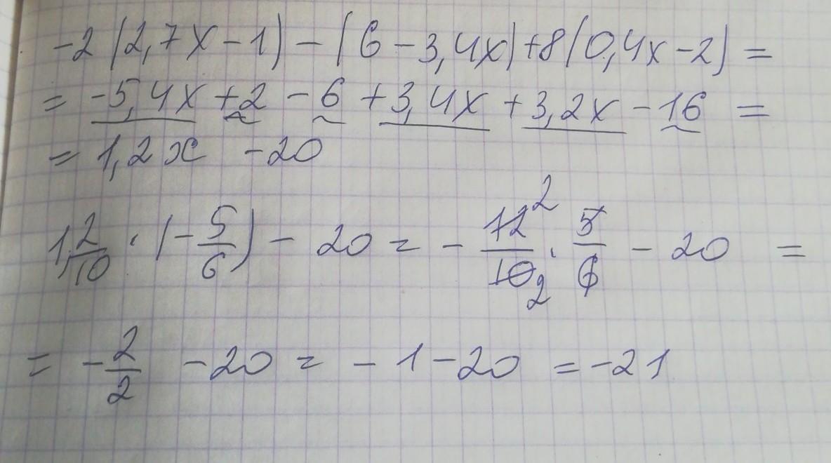
Спростити вираз-2(2,7х-1)-(6-3,4х)+8(0,4х-2) і обчислити його значення при х= -5/6

Ответы

Ответ дал: alesyaperova
0

Пошаговое объяснение:

Решение на фото..............

Приложения:
Вас заинтересует