• Предмет: Математика
  • Автор: arsenirep228
  • Вопрос задан 8 лет назад

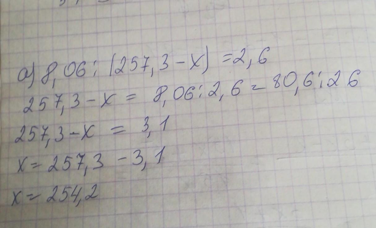
Помогите решить уровнение
а)8,06:(257,3-x)=2,6

Ответы

Ответ дал: alesyaperova
0

Пошаговое объяснение:

На фото.................

Приложения:
Ответ дал: Marushentsiya
0

Ответ:

254,2

Пошаговое объяснение:

8,06:(257,3-х)=2,6

257,3-х=3,1

х=254,2

Приложения:
Вас заинтересует