• Предмет: Математика
  • Автор: li4ka2011
  • Вопрос задан 8 лет назад

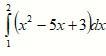
Вычислить определенный интеграл

Приложения:

Ответа на этот вопрос пока нет. Попробуйте найти его через форму поиска.

Вас заинтересует