• Предмет: Алгебра
  • Автор: deniskinpiskin
  • Вопрос задан 8 лет назад

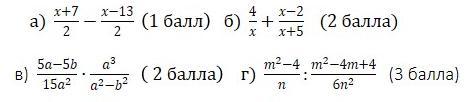
Выполните действия над алгебраическими дробями

Приложения:

Ответа на этот вопрос пока нет. Попробуйте найти его через форму поиска.

Вас заинтересует