• Предмет: Химия
  • Автор: lizunovl96
  • Вопрос задан 11 лет назад

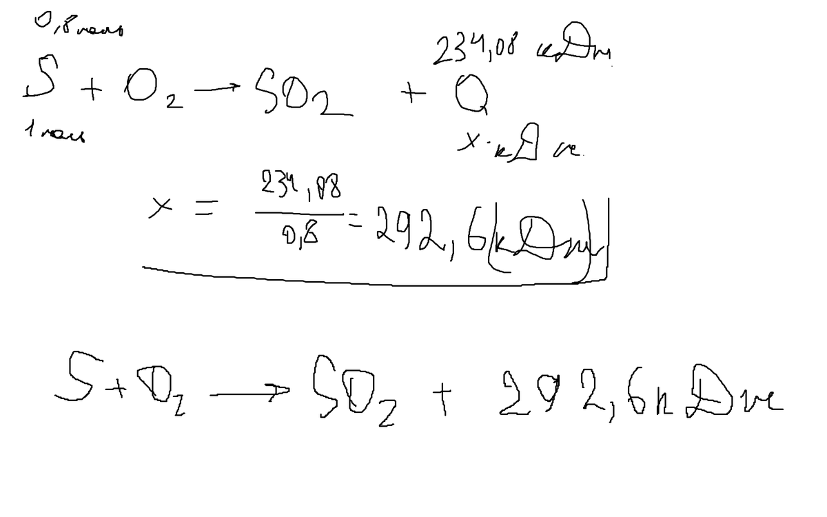
При сгорании 25,6 г серы выделилось 234, 08 кДж теплоты. Составьте термохимическое уравнение этой реакции.

Ответы

Ответ дал: mydrec
0
По-быстренькому накатал, ответ в итоге 292,6 кДж.
Приложения:
Ответ дал: lizunovl96
0
Благодарен)
Вас заинтересует