• Предмет: Математика
  • Автор: NastyaBessmertnaya
  • Вопрос задан 8 лет назад

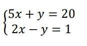
Задание 4 Решите систему уравнений:::::::::::::​

Приложения:

Ответы

Ответ дал: Муса134
0

Ответ:

5x+y=20

2x-y=1

y=20-5x

2x-(20-5x)=1

y=20-5x

2x-20+5x-1=0

y=20-5x

7x=21

x=3

y=20-5*3=20-15=5

Ответ:x=3, y=5.

Ответ дал: Lerstj
0

Ответ:

решение на фото, вроде правильно

Приложения:
Вас заинтересует