• Предмет: Алгебра
  • Автор: bosskharlamenkox53u5
  • Вопрос задан 8 лет назад

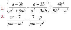
Спростiть вирази. Нужно подробно расписать вирази.

Приложения:

Ответы

Ответ дал: gdfsf
0

Ответ:

1)

 frac{3}{b}

2

 -  frac{7}{mp}

Вас заинтересует