• Предмет: Алгебра
  • Автор: vadimstepanenko27
  • Вопрос задан 8 лет назад

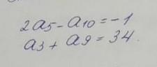
задача на прогресію, знайти d​

Приложения:

Ответа на этот вопрос пока нет. Попробуйте найти его через форму поиска.

Вас заинтересует