• Предмет: Математика
  • Автор: Слойка666
  • Вопрос задан 8 лет назад

5) найти область определения функции
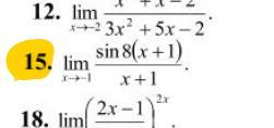
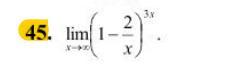
15, 25 и 45) вычислить пределы

Приложения:

Ответа на этот вопрос пока нет. Попробуйте найти его через форму поиска.

Вас заинтересует