• Предмет: Математика
  • Автор: grib19929
  • Вопрос задан 8 лет назад

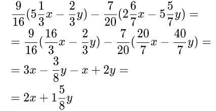
9/16×(5 1/3x-2/3y)-7/20×(2 6/7x-5 5/7y)

Ответы

Ответ дал: dinarahamraeva2008
0

Ответ:

Пошаговое объяснение:

Приложения:
Вас заинтересует