• Предмет: Математика
  • Автор: revoce8615
  • Вопрос задан 8 лет назад

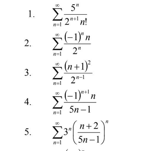
Исследовать сходимость числовых рядов:

Приложения:

Ответа на этот вопрос пока нет. Попробуйте найти его через форму поиска.

Вас заинтересует