• Предмет: Алгебра
  • Автор: serebrennicovayasmin
  • Вопрос задан 8 лет назад

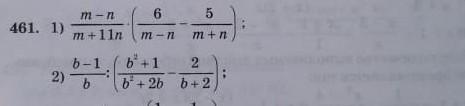
помогите пожалуйста!!!!! умоляю... Срочноооооо!!
записать в виде дроби​

Приложения:

Ответа на этот вопрос пока нет. Попробуйте найти его через форму поиска.

Вас заинтересует