• Предмет: Физика
  • Автор: aleksejhiznak1
  • Вопрос задан 8 лет назад

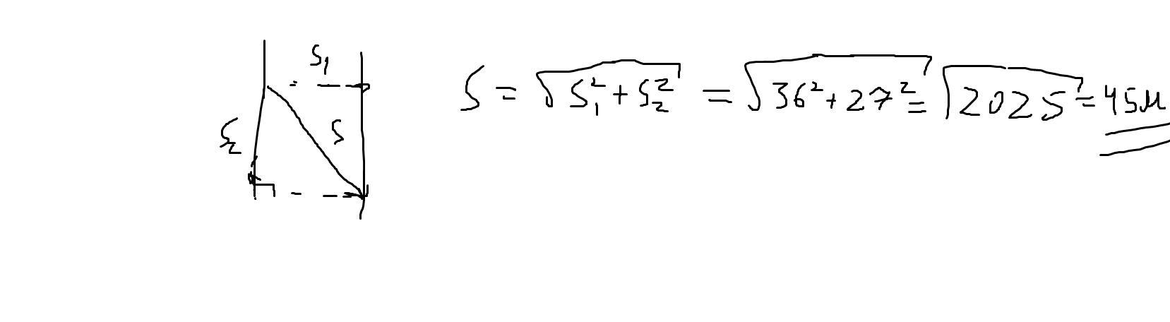
на лодке плывут поперёк реки шириной 36 м ,причём, пока переплывают реку , течение сносит лодку вниз по течению на 27 м .найдите путь сложного движения лодки

35 балов срочно​

Ответы

Ответ дал: Clever46
0

Ответ:

45м

Объяснение:

Приложения:
Ответ дал: yurdekovd
0

Ответ:

45 м

Объяснение:

Приложения:
Вас заинтересует