• Предмет: Математика
  • Автор: korsundima004
  • Вопрос задан 8 лет назад

розв'язати систему рівнянь​

Приложения:

Ответы

Ответ дал: prettypushkova
0

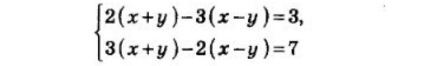
{2(х + у) - 3(х - у) = 3

{3(х + у) - 2(х - у) = 7

- - - - - - -

{2х + 2у - 3х + 3у = 3

{3х + 3у - 2х + 2у = 7

- - - - - - -

{5у - х = 3

{5у + х = 7

- - - - - - -

Вычтем из первого уравнения системы второе

-2х = -4

х = -4 : (-2)

х = 2

- - - - - - -

5у - 2 = 3                 или                  5у + 2 = 7

5у = 3 + 2                                         5у = 7 - 2

5у = 5                                               5у = 5

у = 5 : 5                                            у = 5 : 5

у = 1                                                   у = 1

Вiдповiдь: (2; 1).

Вас заинтересует