• Предмет: Математика
  • Автор: viktoriasamarskaa38
  • Вопрос задан 8 лет назад

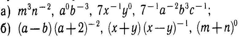
Преобразуйте выражение так,чтобы оно не содержало нулевых и отрицательных показателей
образец
m^3
а) m3 n-2= _
n^2

CРОЧНО! ДАЮ 40 БАЛЛОВ!

Приложения:

Ответа на этот вопрос пока нет. Попробуйте найти его через форму поиска.

Вас заинтересует