• Предмет: Алгебра
  • Автор: atomtashit
  • Вопрос задан 8 лет назад

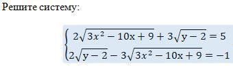
Можете решить даже 1

Приложения:

Ответы

Ответ дал: БесконечноУмнечка
0
Во втором задании не совсем уверена, решение в фото
Приложения:
Вас заинтересует