• Предмет: Математика
  • Автор: Аноним
  • Вопрос задан 8 лет назад

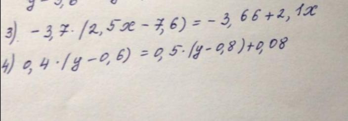
РЕШИТЕ УРАВНЕНИЯ СРОЧНО

Приложения:

Ответы

Ответ дал: gromovm404
0

Ответ:

Решил

Пошаговое объяснение:

Приложения:
Вас заинтересует