• Предмет: Алгебра
  • Автор: David240204
  • Вопрос задан 8 лет назад

Нужно решить первое и второе задание 11ого билета

СРОЧНО!!!!!!!!!!!!!!!!!!!!!!!!!

Приложения:

Ответы

Ответ дал: glxui
0

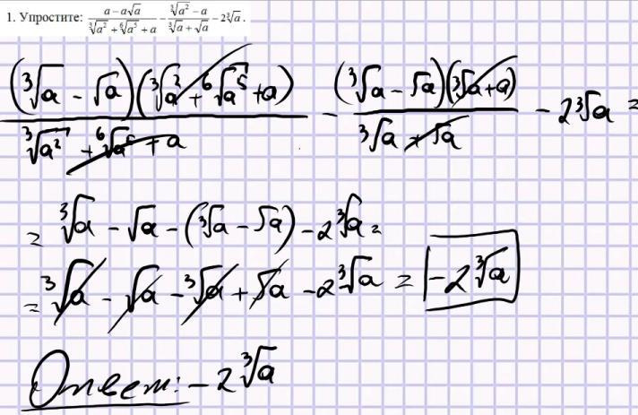
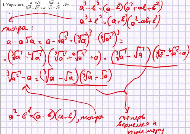
Ответ:

1)-2sqrt[3]{a}

2)x∈[0;5]

Объяснение:

Приложения:
Вас заинтересует