• Предмет: Алгебра
  • Автор: gsgffgdfghfdgh
  • Вопрос задан 8 лет назад

Помогите решить уравнение
cos(2x)+sqrt{3}*cos(x)+1=0

Ответы

Ответ дал: m11m
0

Ответ:

Объяснение:

!!!!!!!!!!!!!!!!!!!!!!!!

Приложения:
Ответ дал: glxui
0

Ответ:

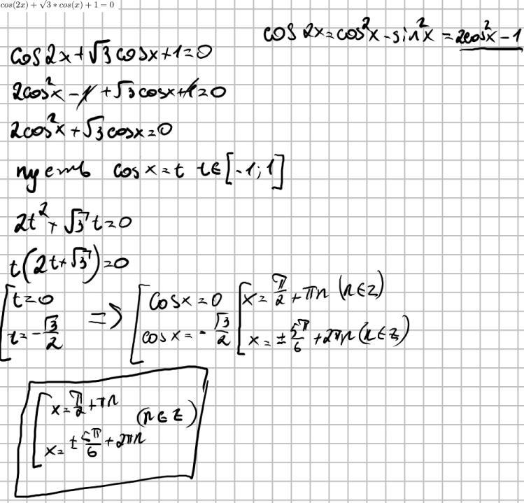
x=π/2+πn;±5π/6+2πn, (n∈Z)

Объяснение:

...................................

Приложения:
Вас заинтересует