• Предмет: Алгебра
  • Автор: eliza94
  • Вопрос задан 8 лет назад

!!!!!!!!!!!!!!!!!!!!!!!!!!!​

Приложения:

Ответы

Ответ дал: Universalka
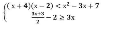
0

left { {{(x+4)(x-2)<x^{2}-3x+7 } atop {frac{3x+3}{2}-2geq3x}} right.\\left { {{x^{2}-2x+4x-8<x^{2}-3x+7} atop {frac{3x+3}{2}*2-2*2geq3x*2}} right.\\left { {{x^{2}+2x-x^{2}+3x<7+8} atop {3x+3-4geq6x }} right.\\left { {{5x<15} atop {3x-6xgeq 4-3}} right.\\left { {{x<3} atop {-3xgeq1 }} right. \\left { {{x<3} atop {xleq-frac{1}{3}}} right.\\Otvet:boxed{xin(-infty;-frac{1}{3}]}

Вас заинтересует