• Предмет: Математика
  • Автор: MrCatTom
  • Вопрос задан 8 лет назад

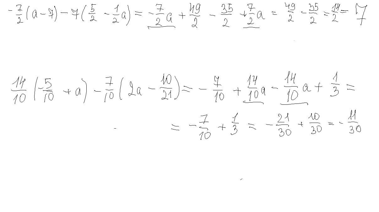
ДАЮ 74 БАЛЛА!!! Математика. РЕШЕНИЕ С ОБЪЯСНЕНИЕМ!

Приложения:

Ответы

Ответ дал: kalinintalin
0

Ответ:

на фото

Пошаговое объяснение:

Приложения:
Вас заинтересует