• Предмет: Алгебра
  • Автор: AnnyLife696
  • Вопрос задан 8 лет назад

помогите пожалуйста.раздел: Алгебраические дроби.заранее спасибо​

Приложения:

Ответы

Ответ дал: ViktoriaPobloki
0

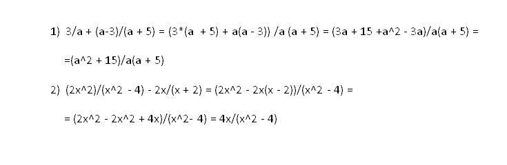
Решение во вложении.

Приложения:
Ответ дал: sivenko1992sivenko
0

Ответ:

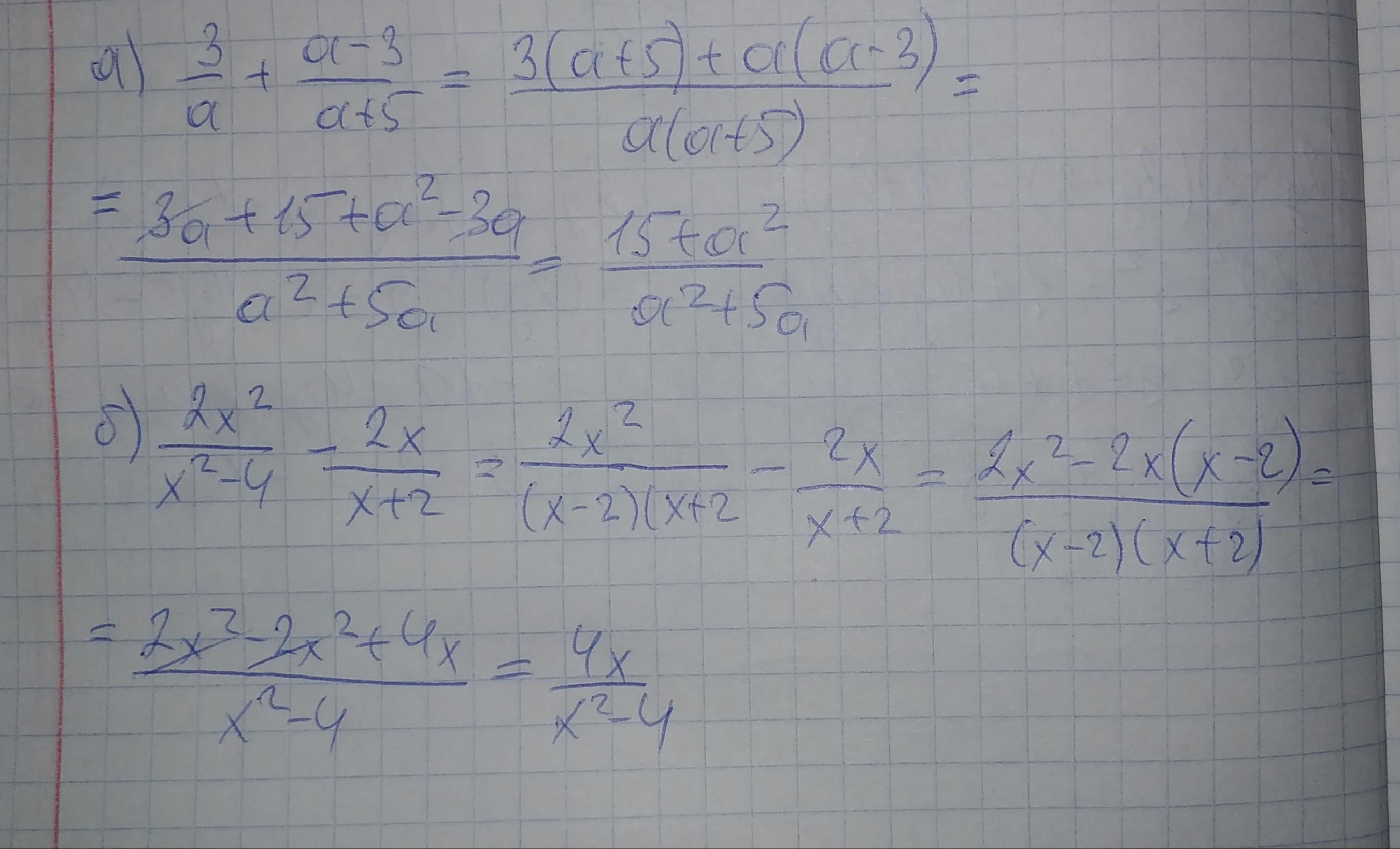
я в ворде решил, смотри фотку, там все подробно и понятно

Объяснение:

Приложения:
Ответ дал: AnnyLife696
0
спасибо
Вас заинтересует