• Предмет: Математика
  • Автор: valeriaparfenteva
  • Вопрос задан 8 лет назад

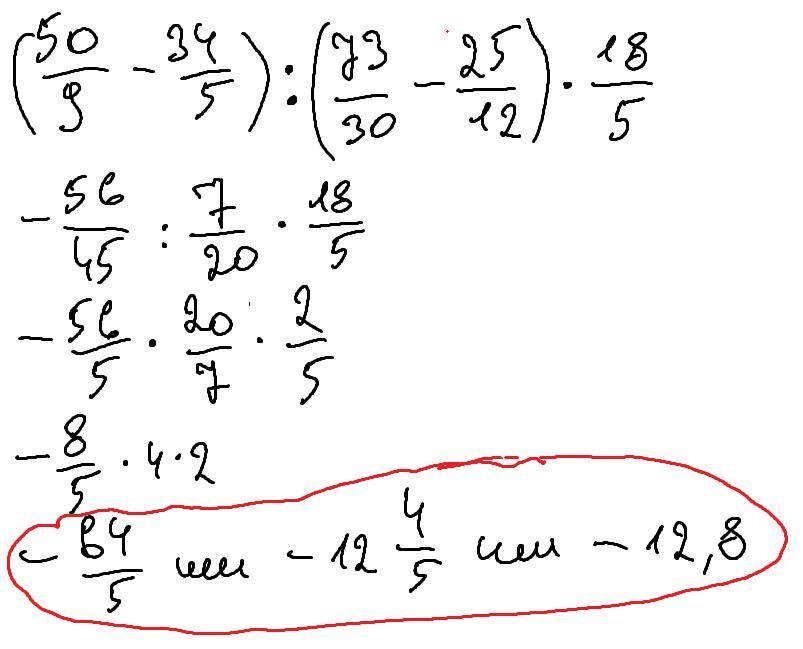
Выполните действие.
(5frac{5}{9} - 6.8) div (2 frac{13}{30} - 2 frac{1}{12}) times 3.6 =

Ответы

Ответ дал: mouse167
0

Ответ:

-12,8

Пошаговое объяснение:

Приложения:
Вас заинтересует