• Предмет: Алгебра
  • Автор: misha515
  • Вопрос задан 8 лет назад

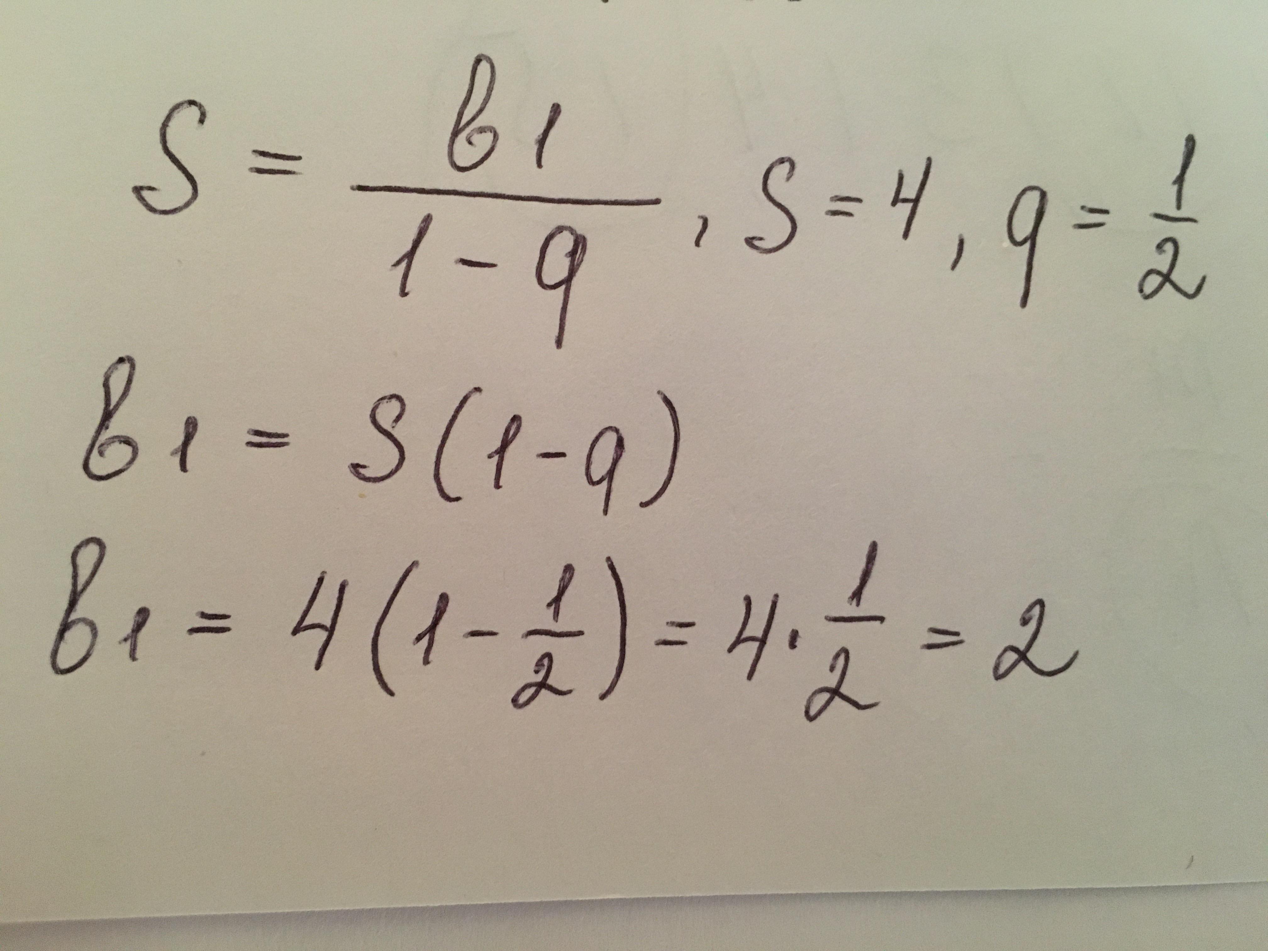
Найдите первый член бесконечной геометрической прогрессии, если сумма прогрессии равна 4, а знаменатель равен 1/2

Ответы

Ответ дал: tamarasova
0

Ответ:

в1=2

Объяснение:

Приложения:
Вас заинтересует