• Предмет: Алгебра
  • Автор: rea1998
  • Вопрос задан 11 лет назад

Помогите решить неравенство!
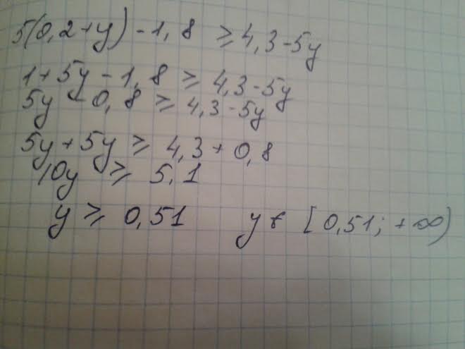
5(0,2+y) -1,8( знак больше либо равно > с черточкой внизу) 4,3+5y

Ответы

Ответ дал: Аноним
0
1+5y-1,8 geq 4,3+5y
5y-5y geq 4,3-1+1,8
0y geq 5,1
Нет решения
Ответ дал: Muraha1
0
,,,,,,,,,,,,,,,,,,,,,,,,,,,,,,,,,,,
Приложения:
Вас заинтересует