• Предмет: Математика
  • Автор: awizz
  • Вопрос задан 11 лет назад

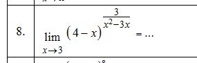
Помогите решить предел

Приложения:

Ответы

Ответ дал: NNNLLL54
0
 lim_{xto 3}(4-x)^{frac{3}{x^2-3x}}=lim_{xto 3}[(1+(3-x))^{frac{1}{3-x}}]^{frac{(3-x)cdot 3}{x(x-3)}}=\\=lim_{xto 3}e^{-frac{3}{x}}=e^{-1}=frac{1}{e}
Вас заинтересует