• Предмет: Алгебра
  • Автор: DiPan
  • Вопрос задан 8 лет назад

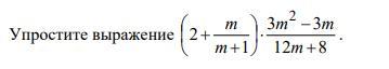
Помогите решить задание по алгебре, даю 100 балов!
Задание на скриншоте.

Приложения:

Ответы

Ответ дал: EvaLazareva9
0

Ответ:

Объяснение: готово

Приложения:
Вас заинтересует