• Предмет: Алгебра
  • Автор: архиповАнтон
  • Вопрос задан 11 лет назад

Найдите производную с 1-9 помогите решить

Приложения:

Ответы

Ответ дал: NNNLLL54
0
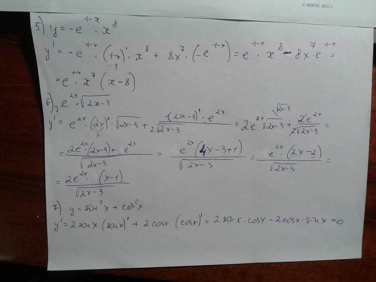
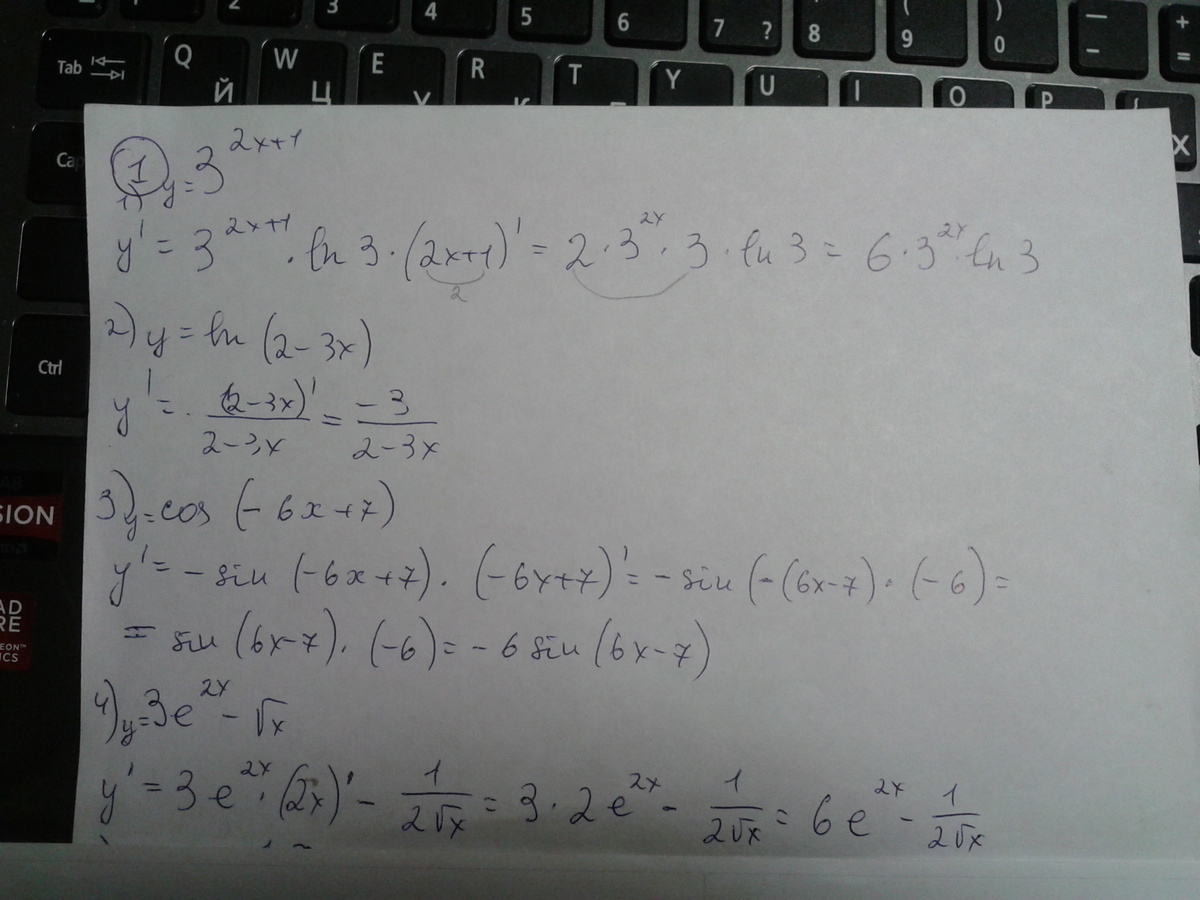
  1); (3^{2x+1})`=3^{2x+1}cdot 2\\2); y=ln(2-3x),; ; y`=frac{-3}{2-3x}\\3); y=cos(-6x+7),; ; y`=-sin(-6x+7)cdot (-6)=6sin(-6x+7)\\4); y=3e^{2x}-sqrt{x},; y`=6e^{2x}-frac{1}{2sqrt{x}}\\5); y=e^{1-x}cdot x^8,; y`=-e^{1-x}cdot x^8+8x^7cdot e^{1-x}\\6); y=e^{2x}cdot sqrt{2x-3}\\y`=2e^{2x}sqrt{2x-3}+frac{e^{2x}}{sqrt{2x-3}}

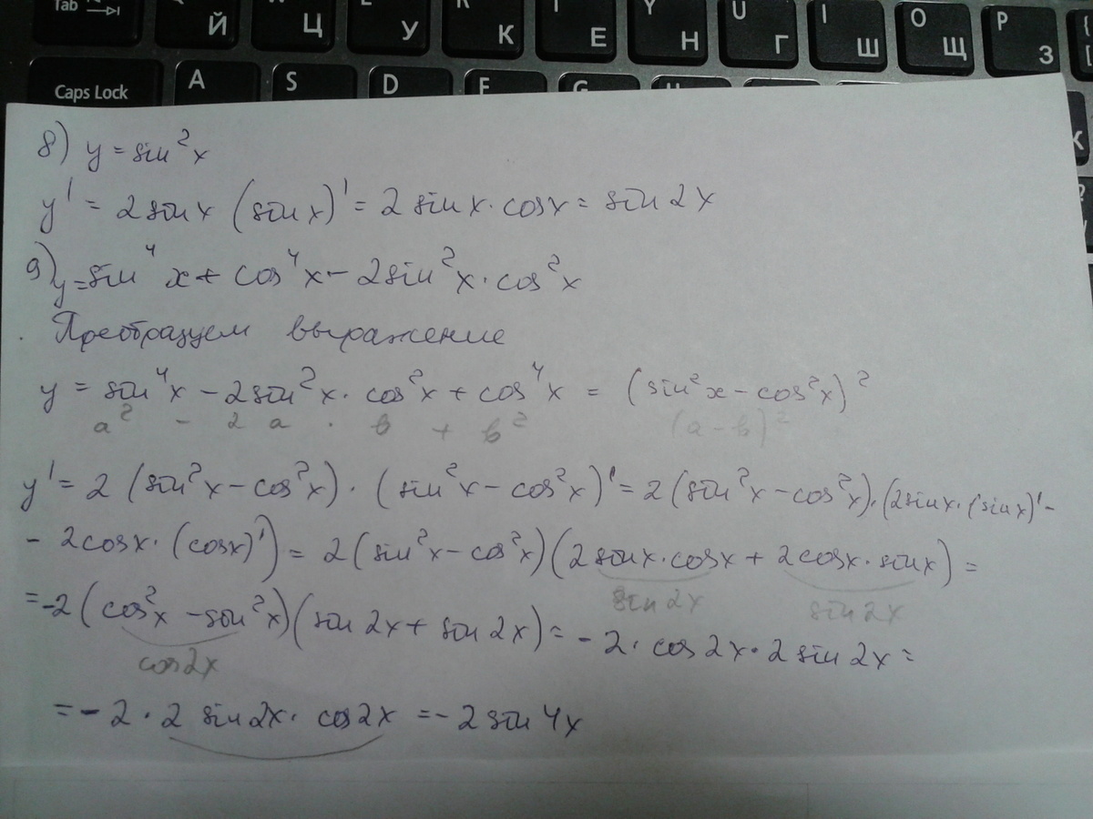
7); y=sin^2x+cos^2x=1,; ; y`=0\\8); y=sin^2x,; y`=2sinxcdot cosx=sin2x\\9); y=sin^4x+cos^4x-2sin^2xcdot cos^2x=(sin^2x-cos^2x)^2=(-cos2x)^2=cos^22x\\y`=2cos2xcdot (-sin2x)cdot 2=-2sin4x
Ответ дал: irinan2014
0
Решаем по формулам сложной функции.
Приложения:
Вас заинтересует