• Предмет: Математика
  • Автор: Dlight96
  • Вопрос задан 8 лет назад

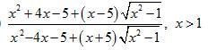
звільнитися від ірраціональності в знаменнику

Приложения:

Ответа на этот вопрос пока нет. Попробуйте найти его через форму поиска.

Вас заинтересует