• Предмет: Алгебра
  • Автор: fassgamemero
  • Вопрос задан 8 лет назад

Берілген теңсіздікті интегралдар әдісімен шешіңдер.
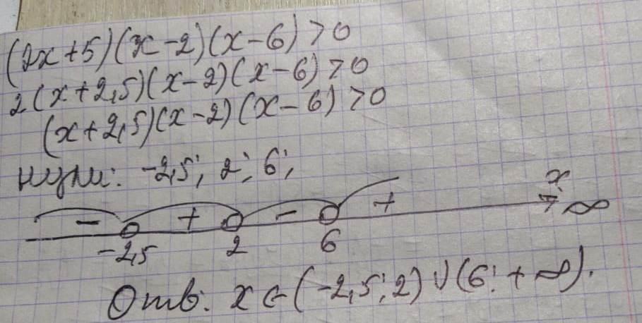
(2х+5)(х-2) (х-6)>0
_

Ответы

Ответ дал: terikovramazan
0

Ответ: приложено

Объяснение:

Приложения:
Вас заинтересует