• Предмет: Математика
  • Автор: motorola37
  • Вопрос задан 8 лет назад

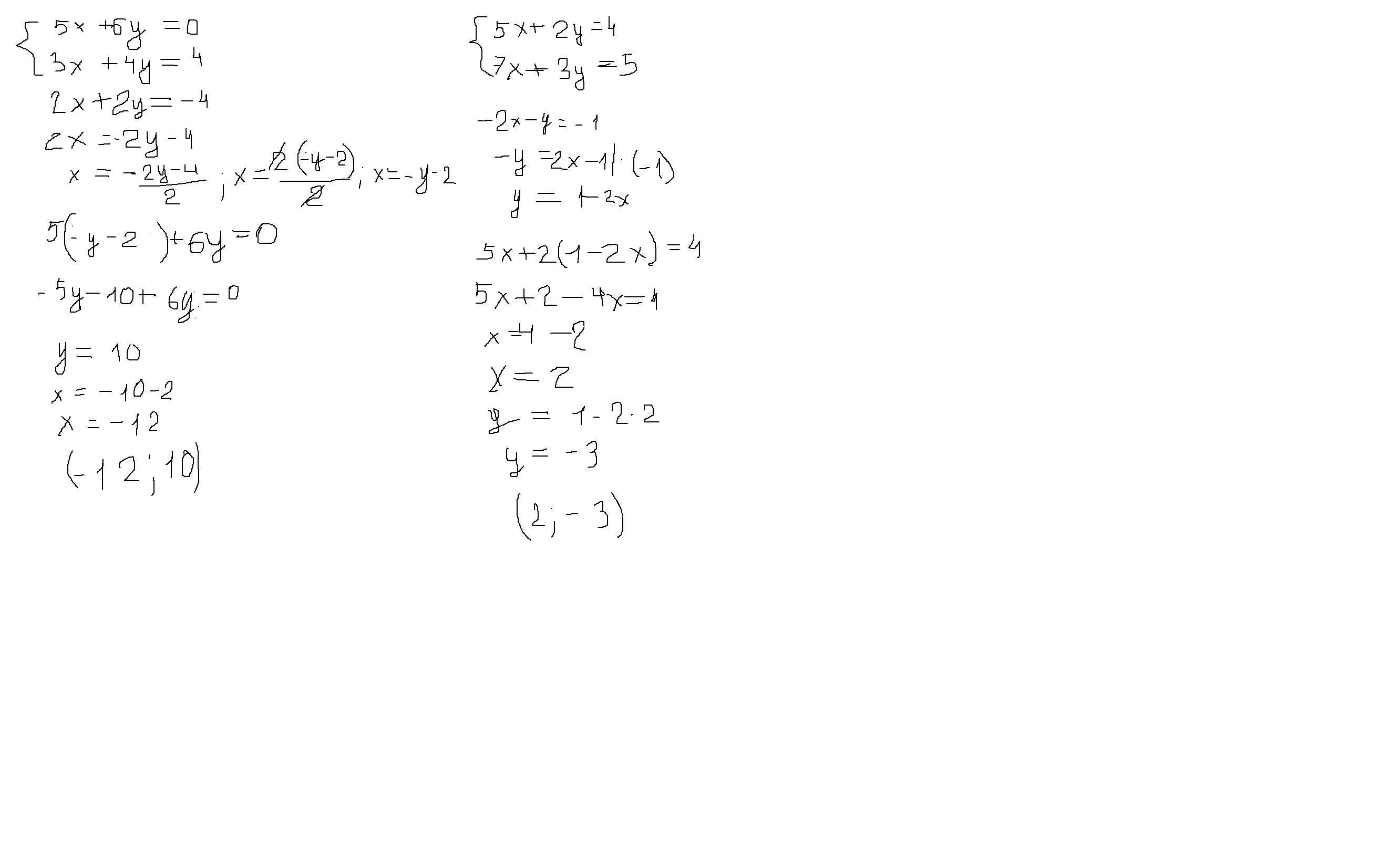
решите системы методом сложение
даю поф фасту 50 балов ​

Приложения:

Ответы

Ответ дал: pubgmob2283009
0

Ответ:

  1. (x,y)=(4/7, - 10/21) A.
  2. (x,y)=(2,-3). Б 3). (x,y)=(6,-2).В
Ответ дал: vladrov
0

Ответ:

Пошаговое объяснение:

Приложения:
Вас заинтересует