• Предмет: Геометрия
  • Автор: madihanchik
  • Вопрос задан 8 лет назад

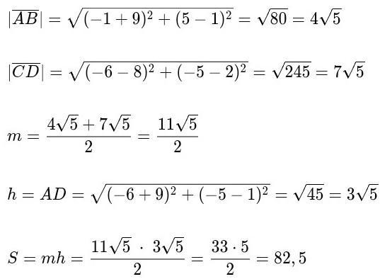
20Баллов.Точки А(-9;1), В(-1;5), С(8;2), D(-6;-5) – вершины прямоугольной трапеции с основаниями АВ и CD. Найдите длину средней линии

Ответы

Ответ дал: dinarahamraeva2008
0

Ответ:****

Объяснение:

Приложения:
Вас заинтересует