• Предмет: Алгебра
  • Автор: lizza0204
  • Вопрос задан 8 лет назад

АЛГЕБРА, 7 КЛАСС, ДАЮ 15 БАЛЛОВ

Приложения:

Ответы

Ответ дал: elizavetamanifat
0

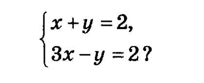
Спосіб додавання

4х=4

х=1

1+у=2

у=2-1

у=1.

Відповідь: (1;1)

Ответ дал: sofiyunia
0

Ответ:

(1,1)

Объяснение:

X=2-y

3(2-y)-y=2

6-4y=2

-4y=-4

Y=1

X=2-1

X=1

Вас заинтересует