• Предмет: Алгебра
  • Автор: lizza0204
  • Вопрос задан 8 лет назад

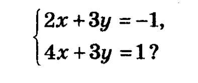
АЛГЕБРА, 7 КЛАСС, ДАЮ 15 БАЛЛОВ

Приложения:

Ответы

Ответ дал: iva7sem
0

Ответ:

(1;-1)

Объяснение:

4х+3у=1 •(-1)

2х+3у=-1

-4х-3у=-1

-2х=-2 х=1

2•1+3у=-1

3у=-3

у=-1

(1;-1)

Ответ дал: nastyarozhkova896
0

2x+3y=-1

4x+3y=1

6x+6y=0

6x=-6y

x=-6y/6

4x+3y=1

4(-6y/6)+3y=1

4(-6y)+3y×6=1×6

-24y+18y=6

-6y=6

y=-1

x=1

Вас заинтересует