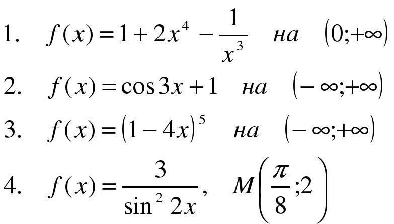
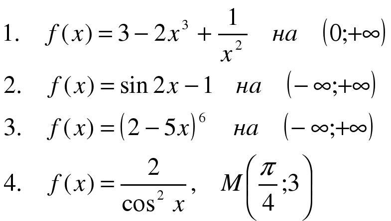
Найдите все первообразные F(x) для функции 1-3. В четвертом задании найдите для заданной функции f(x) ту первообразную, график которой проходит через точку М.
Приложения:


Ответа на этот вопрос пока нет. Попробуйте найти его через форму поиска.
Вас заинтересует
2 года назад
3 года назад
8 лет назад
9 лет назад