• Предмет: Алгебра
  • Автор: ruslan060504
  • Вопрос задан 8 лет назад

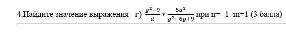
помогите срочно по алгебре !!!7класс​

Приложения:

Ответа на этот вопрос пока нет. Попробуйте найти его через форму поиска.

Вас заинтересует