• Предмет: Математика
  • Автор: karinastarchenko777
  • Вопрос задан 8 лет назад

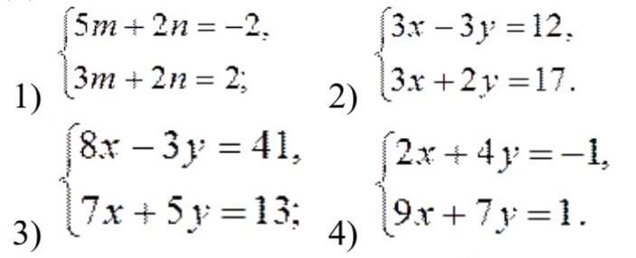
системы решение или способом постановки или способом сложения ​

Приложения:

Ответа на этот вопрос пока нет. Попробуйте найти его через форму поиска.

Вас заинтересует