• Предмет: Алгебра
  • Автор: masalovartyr03
  • Вопрос задан 8 лет назад



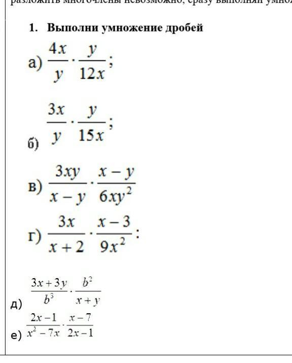
помогите пожалуйста дам 30 балов​

Приложения:

Ответы

Ответ дал: neizvestnyi02
0

Ответ:

a)1/3

б)1/5

в)1/2y

г)(x-3)/(x+2)*3x=(x-3)/(3x²+6x)

д)(3(x+y)/b)*1/(x+y)=3/y

Объяснение:

e)1/(x(x-7))*(x-7)=1/x

Ответ дал: asylzanibranova
0

ответ:

а)1_3

б)1_5

в)1_2y

г)x-3_3x²+6x

д)3_b

е)1_x

объяснение: 1_3 это 1

_

3

Вас заинтересует