• Предмет: Математика
  • Автор: allakverdievaelmira
  • Вопрос задан 8 лет назад

посогите и поскорее! х^2+х/х^2​

Ответы

Ответ дал: tafausupov667
0

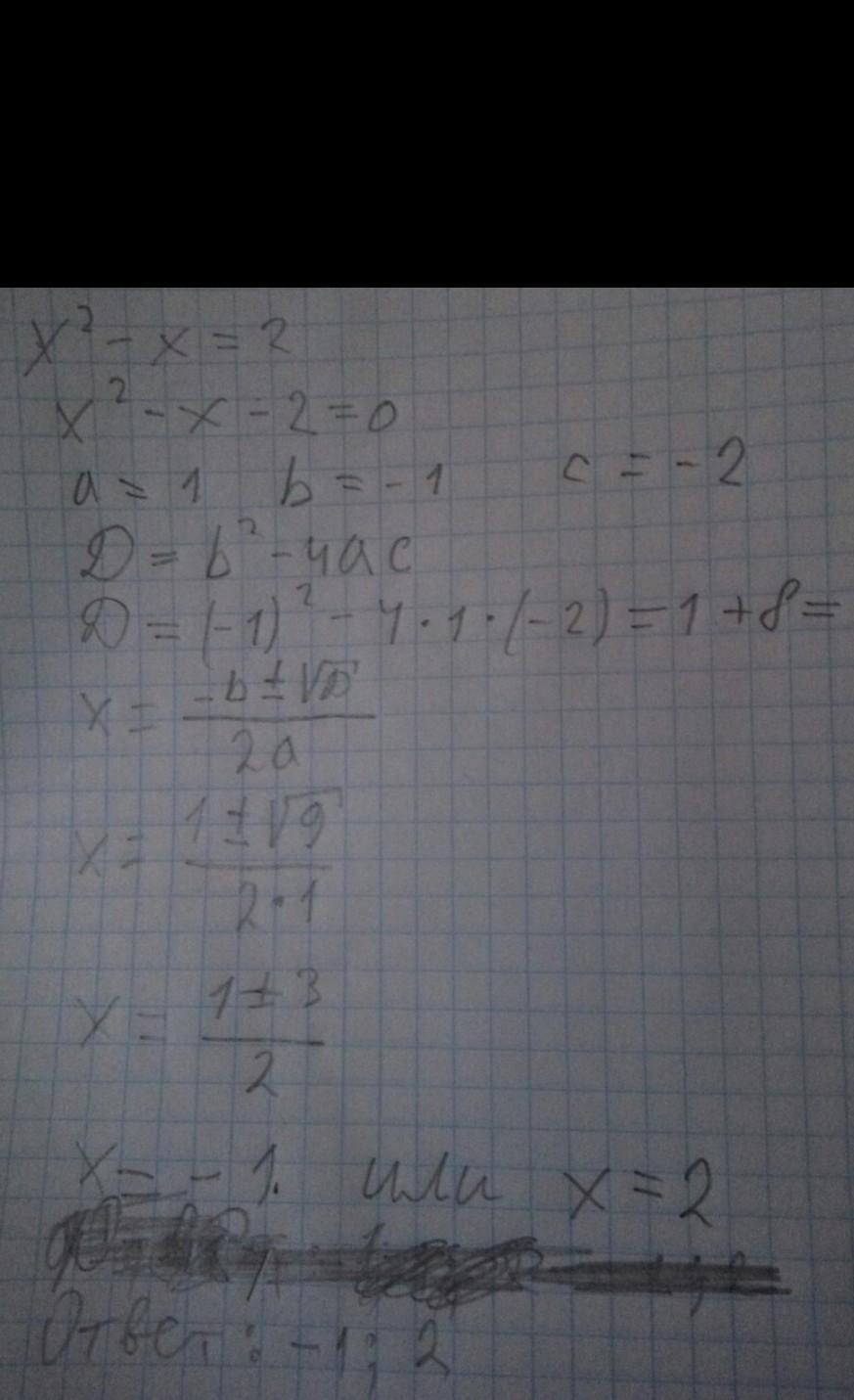
Ответ:

там где 1+8 это будет 9>с

Приложения:
Ответ дал: allakverdievaelmira
0
Спасибо!
Ответ дал: allakverdievaelmira
0
Нужно было сократить дробь
Вас заинтересует